Sand greens and sodium
Understanding base cations and hydraulic conductivity of sand root zones
Irrigating turfgrass with water containing high concentrations of sodium can present significant agronomic challenges. Sodium promotes clay swelling and dispersion, resulting in a decrease in the hydraulic conductivity or rate of water flow through the soil.
However, our understanding of sodium hazard comes from research focused on soils with moderate-to-high clay content. Many modern putting greens are constructed with sand and contain less than 3 percent clay by weight. Therefore, the findings of previous sodium hazard studies may not apply to sand-based root zones with low clay content.
The percentage of sodium on soil cation exchange sites, referred to as the exchangeable sodium percentage (often abbreviated as ESP), provides a measure of sodium hazard in soil. The generally accepted exchangeable sodium percentage threshold of 15 for sodic soils may overestimate sodium hazard in sand-based putting greens.

Salt buildup at the soil surface. The salt only accumulates where turf is sparse and algae are the dominant surface cover.
In a 1978 study, increasing exchangeable sodium percentage had no effect on a soil containing 2.9 percent clay. In another study, increasing exchangeable sodium percentage actually resulted in an increased hydraulic conductivity of a soil with 3.1 percent clay. The authors suggested that sodium initially caused the clay to disperse, and then the clay leached out of the profile as water continued to infiltrate. Yet another study concluded that the risk of effluent irrigation water with respect to hydraulic conductivity is low for sandy soils. While these studies have focused on sandy soils with relatively low clay content, the soils were likely not representative of putting green root zones. The fastest conductivity reported in the 1978 study was 1 inch per hour, which is still substantially slower than that of putting green root zones.
While Mg2+ and Ca2+ traditionally have been lumped together as having a positive impact on soil structure and water infiltration, there is some evidence that Mg2+ may reduce hydraulic conductivity due to Mg2+ having a larger hydration shell than Ca2+. Clay swelling and dispersion were found to decrease hydraulic conductivity in clay-rich soils with 90 percent exchangeable Mg2+, but exchangeable Mg2+ is unlikely to reach such high levels in field soils. Since clay swelling and dispersion are likely not problematic in sand-based root zones with low clay content, Mg2+ would not be expected to negatively affect Ksat of sand-based putting green soils.
Proponents of the base cation saturation ratio (BCSR) suggest that maintaining a ratio of 65 percent calcium to 10 percent magnesium (exchangeable Ca:Mg ratio of 6.5:1) will provide benefits to soil physical properties, but a 2007 review concluded that these claims are unfounded. In fact, a 1986 study showed that hydraulic conductivity was unaffected by ratios of exchangeable Ca:Mg ranging from 0.5 to 2.5. No studies have examined how the exchangeable Ca:Mg ratio affects hydraulic conductivity in putting green root zones.

Turfgrass cover can be reduced by high salinity, but if the soils are sand based, sodium will not cause infiltration problems.
Sand-based putting green root zones often are amended to increase nutrient and water holding capacity, and these amendments affect hydraulic conductivity depending on their incorporation rates and physical properties. The characteristics of different soil amendments could influence how sodium or magnesium affects hydraulic conductivity for a given root zone mix. In the presence of sodium, clays with 2:1 minerals such as montmorillonite are more prone to swelling and dispersion than 1:1 clays like kaolinite, which do not shrink or swell. Some sand root zones are amended with calcined clay (e.g., Profile), which is physically stable and not susceptible to swelling or dispersion. Because this amendment doesn’t readily disperse, the hydraulic conductivity of sand root zones amended with calcined clay should be unaffected by sodium and magnesium.
Sand root zones also are amended with organic materials such as sphagnum peat and peat humus. Organic matter dispersion could result in pore clogging and reduced infiltration rates. Organic matter also can enhance clay dispersion in sodic soils. However, it’s unclear whether sodium or magnesium will reduce hydraulic conductivity of sand amended with peat materials, especially at relevant incorporation rates (10 percent to 20 percent by volume).
The objective of this research was to study the effects of sodium and magnesium on hydraulic conductivity of sandy soils. Specifically, this study was designed to evaluate how exchangeable Na+, exchangeable Ca:Mg ratio, soil clay content and soil amendments used for construction affect the hydraulic conductivity of sand-based putting green root zones.
Methods
| TABLE 1 | |||||
|---|---|---|---|---|---|
| Characteristics of blended sand root zones | |||||
| Root zone description | Blend ratio | Bulk density | Estimated CEC | Clay content | |
| by volume | g cm–3 | cmolc kg soil–1 | percent by weight | ||
| Non-amended sand † | 1:0 | 1.71 | 1.5 | 0.5 | |
| Sand/sphagnum peat ‡ | 4:1 | 1.48 | 2.5 | 0.7 | |
| Sand/Profile § | 4:1 | 1.51 | 2.3 | 0.7 | |
| Sand/loam # | 4:1 | 1.71 | 3.0 | 4.8 | |
| † Waupaca Sand and Gravel, Waupaca, Wis. ‡ Sun Gro Horticulture, Agawam, Mass. § Profile Products, LLC, Buffalo Grove, Ill. # Bt horizon of Dresden silt loam (fine-loamy over sandy or sandy skeletal, mixed, active, mesic Mollic Hapludalfs) |
|||||
Calcareous sand (Waupaca Sand and Gravel, Waupaca, Wis.) was blended with three different amendments (Table 1) in a double-barrel rotating mixer and packed into metal sleeves (7.6 cm in diameter, 7.6 cm in height). A non-amended sand also was included in the experiment. The clay content of root zone mixtures was measured using the hydrometer method. The packed metal sleeves were placed in 12-L plastic tubs and allowed to equilibrate for 48 hours in a range of solutions of differing ratios of sodium chloride, calcium chloride, magnesium chloride and potassium chloride (Table 2). Solution treatments 1 through 7 were designed to increase sodium saturation. Treatment 8 was designed to increase exchangeable Mg2+ relative to Ca2+. Each root zone mixture and saturating solution treatment combination was replicated three times.
After equilibration in the appropriate solutions, the soil columns were rinsed with two pore volumes of deionized water, and hydraulic conductivity was measured by the automated falling head permeameter method. Following the measurement of hydraulic conductivity, soils were oven dried at 105 degrees C, homogenized, and then analyzed for base cation content by a pH 8.5 ammonium acetate extraction. Cation exchange capacity values were estimated by summation of base cations. A generalized linear model was used to determine whether exchangeable sodium percentage or the exchangeable Ca:Mg ratio had a significant effect on hydraulic conductivity for each root zone mixture.
Results and Discussion
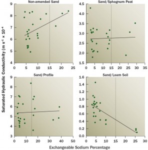
Saturating the sand columns in the different solutions described in Table 2 created a range of exchangeable sodium percentage in each soil. Sodium only affected the saturated hydraulic conductivity of the non-amended sand and sand/loam root zones, despite exchangeable sodium percentages above the generally accepted threshold of 15 percent (Figure 1). Neither the sand/sphagnum peat nor the sand/Profile blends were affected by increasing exchangeable sodium percentage. The sand/sphagnum peat and sand/Profile root zones met the USGA particle size recommendations for putting green construction and contained only 0.7 percent clay. The findings from this study suggest that sodium will not negatively affect putting green soils with low clay content, including those constructed to USGA recommendations.
| TABLE 2 | ||||||
|---|---|---|---|---|---|---|
| Saturating solution mixtures of NaCl, CaCl2, MgCl2, and KCl | ||||||
| Treatment no. † | Na+ | Ca2+ | Mg2+ | K+ | SAR† | |
| ——— mmolc L–1 ——— | ||||||
| 1 | 0 | 30 | 5 | 2 | 0 | |
| 2 | 7 | 25 | 3 | 1 | 2 | |
| 3 | 12 | 21 | 3 | 1 | 3 | |
| 4 | 23 | 12 | 1 | 1 | 9 | |
| 5 | 35 | 2 | 0 | 0 | 35 | |
| 6 | 37 | 0 | 0 | 0 | ∞ ‡ | |
| 7 | 185 | 0 | 0 | 0 | ∞ | |
| 8 | 0 | 5 | 30 | 2 | 0 | |
| † Sodium adsorption ratio = [Na+] / ([Ca2+]+[Mg2+])/2)½; values in mmolc L–1
‡ Solution contains no Ca2+ or Mg2+; SAR = ∞ |
||||||
The hydraulic conductivity of the non-amended sand actually increased as exchangeable sodium increased. Increasing the exchangeable sodium percentage may have initially dispersed the small amount of clay (0.5 percent) that was present, allowing the clay to easily migrate through the soil and leach out with the drainage water. Other authors have reported similar findings and have suggested that plugging of pores in sandy soils is unlikely in soils with low clay content.
The hydraulic conductivity of the sand/loam soil blend decreased with increasing exchangeable sodium percentage, which agrees with our general understanding of sodium behavior in soils. This soil contained 4.8 percent clay and did not meet USGA particle size recommendations. This treatment was included in the study as a positive control. The fact that we observed a decrease in hydraulic conductivity with increasing exchangeable sodium shows that our method of soaking the soils in different solutions and measuring hydraulic conductivity was working correctly. The findings from this positive control also strengthen our conclusions. Under identical experimental conditions, we observed that increasing exchangeable sodium does not reduce hydraulic conductivity in soils with low clay content.

FIGURE 1
Exchangeable Sodium Percentage Effects: Saturated hydraulic conductivity of four root zones as affected by increasing exchangeable sodium percentage. Dotted lines indicate the generally accepted exchangeable sodium percentage threshold of 15 for soil sodicity problems. Dots are the saturated hydraulic conductivity from each replicate of all of the eight treatments for each root zone mix.
The vast majority of sodium hazard studies are focused on short time scales. In putting greens, it’s unclear how long-term factors such as organic matter accumulation would affect clay dispersion and leaching over a timescale of months to years. The addition of organic matter to sand root zones can decrease hydraulic conductivity by a factor of 10 to 100. On the other hand, clay dispersion and leaching during heavy rainfall events could result in a decrease in soil clay content over time, potentially increasing hydraulic conductivity. However, this effect will likely be masked by the decrease in hydraulic conductivity that occurs as surface organic matter accumulates over time.
Saturating the soils in the different solutions described in Table 2 created exchangeable Ca:Mg ratios ranging from 1.5 to 5.0, but the Ca:Mg ratio had no effect on hydraulic conductivity for any of the four soil blends (Figure 2). Our findings are consistent with researchers who concluded that there is no scientific evidence to support the claims that maintaining specific exchangeable Ca:Mg ratios will improve soil physical properties, including hydraulic conductivity.

FIGURE 2
Exchangeable Ca:Mg Ratio Effects: Saturated hydraulic conductivity of four root zones as affected by the exchangeable Ca:Mg ratio. Dots are the saturated hydraulic conductivity from each replicate of all of the eight treatments for each root zone mix.
Conclusions
Interpretations of water quality parameters often do not take soil properties into account. As such, recommendations for the hazard level of certain water quality parameters may under- or overestimate risk. Linking soil properties to water quality parameters allows more accurate recommendations for the end-user, potentially saving time, money and valuable resources.
The results of this research suggest that evaluations of the sodium hazard of irrigation waters need to account for clay content in the soil. In the case of sand-based putting green root zones, which often have very low clay content, increasing exchangeable sodium percentage well above the standard sodicity threshold of 15 percent had no effect on hydraulic conductivity. The findings from this study suggest that the application of soil amendments for remediation of sodic soils (e.g., gypsum) would be warranted only for sodic soils with higher clay content, and will not provide significant benefits to drainage of sand-based putting greens. Finally, our findings suggest that the exchangeable Ca:Mg ratio has no effect on hydraulic conductivity in sand putting green root zones.
Acknowledgments
Another description of this study was published in the journal Soil Science (2014; 179:376-382). This research was funded by the United States Golf Association and the Wisconsin Turfgrass Association. We would like to thank Rob Johnson from Waupaca Sand and Gravel for donating the soils and amendments used in this study. We also thank Norm Hummel, Ph.D., for donating physical analyses of the soils in this study.
References
Bigelow, C. A., D.C. Bowman, and D.K. Cassel. 2004. Physical properties of three sand size classes amended with inorganic materials or sphagnum peat moss for putting green rootzones. Crop Sci. 44:900–907.
Bouyoucos, G.J. 1962. Hydrometer method improved for making particle size analyses of soils. Agron. J. 54:464–465.
Frenkel, H., J. Goertzen, and J. Rhoades. 1978. Effects of clay type and content, exchangeable sodium percentage, and electrolyte concentration on clay dispersion and soil hydraulic conductivity. Soil Sci. Soc. Am. J. 42:32–39.
Gaussoin, R., R. Shearman, L. Wit, T. McClellan, and J. Lewis. 2007. Soil physical and chemical characteristics of aging golf greens. Golf Course Manage. (January):161-165.
Goldberg, S., B. Kapoor, and J. Rhoades. 1990. Effect of aluminum and iron oxides and organic matter on flocculation and dispersion of arid zone soils. Soil Sci. 150:588–593.
Gupta, R., D. Bhumbla, and I. Abrol. 1984. Effect of sodicity, pH, organic matter, and calcium carbonate on the dispersion behavior of soils. Soil Sci. 137:245–251.
Johnson, D., F. Arriaga, and B. Lowery. 2005. Automation of a falling head permeameter for rapid determination of hydraulic conductivity of multiple samples. Soil Sci. Soc. Am. J. 69:828–833.
Keren, R. 1991. Specific effect of magnesium on soil erosion and water infiltration. Soil Sci. Soc. Am. J. 55:783-787.
Kopittke, P.M., and N.W. Menzies. 2007. A review of the use of the basic cation saturation ratio and the “ideal” soil. Soil Sci. Soc. Am. J. 71:259-265.
Lado, M., and M. Ben-Hur. 2010. Effects of irrigation with different effluents on saturated hydraulic conductivity of arid and semiarid soils. Soil Sci. Soc. Am. J. 74:23–32.
Pupisky, H., and I. Shainberg. 1979. Salt effects on the hydraulic conductivity of a sandy soil. Soil Sci. Soc. Am. J. 43:429–433.
Rengasamy, P., R.S.B. Greene, and G.W. Ford. 1986. Influence of magnesium on aggregate stability in sodic red-brown earths. Aust. J. Soil Res. 24:229-237.
Richards, L.A. 1954. Diagnosis and improvement of saline and alkali soils. Agric. Handb. 60. U.S. Gov. Print. Office, Washington, DC.
U.S. Golf Association (USGA) Green Section Staff. 2004. USGA recommendations for a method of putting green construction. Available at http://www.usga.org/Content.aspx?id=26124 (verfied 3 Mar. 2014). United States Golf Assoc., Far Hills, NJ.
Wesseling, J., C. Stoof, C. Ritsema, K. Oostindie, and L. Dekker. 2009. The effect of soil texture and organic amendment on the hydrological behaviour of coarse-textured soils. Soil Use Manage. 25:274–283.
Zhang, X., and L. Norton. 2002. Effect of exchangeable Mg on saturated hydraulic conductivity, disaggregation and clay dispersion of disturbed soils. J. Hydrol. 260:194-205.
Photos courtesy: Glen Obear



